Задать свой вопрос
*более 50 000 пользователей получили ответ на «Решим всё»
Задача 50983
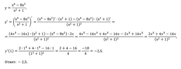
y = (x^4 - 8x^2) / (x^2 +...
Условие
asmodeywine
2020-05-20 14:37:49
y = (x^4 - 8x^2) / (x^2 + 1)
Вычислить производую функцию в точкe x=1.
математика
587
Решение
u821511235
2020-05-20 15:21:38
★
Написать комментарий
Меню
Решим всё
Найти задачу
Категории
Статьи
Тесты
Архив задач
Присоединяйся в ВК