Задать свой вопрос   *более 50 000 пользователей получили ответ на «Решим всё»

Задача 50979 ...

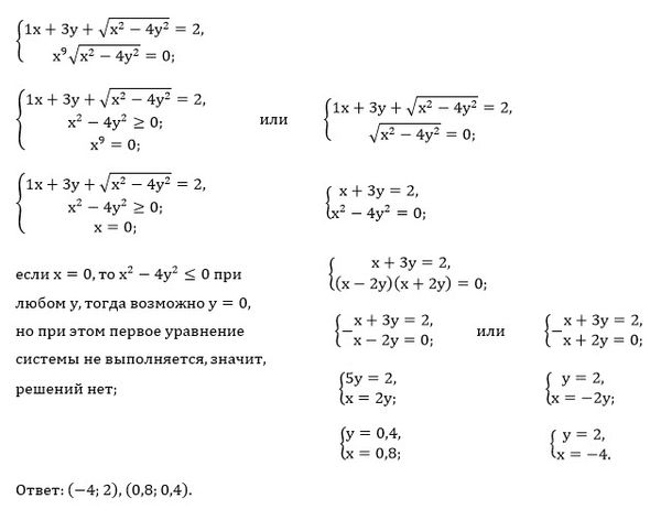
Условие

Реши систему уравнений.
{ 1x + 3y + √(x² - 4y²) = 2
{ x⁹√(x² - 4y²) = 0

Введи решения системы: (x₁; y₁), (x₂; y₂)

математика 10-11 класс 627

Решение

Все решения

Написать комментарий

Меню

Присоединяйся в ВК