Задать свой вопрос   *более 50 000 пользователей получили ответ на «Решим всё»

Задача 50978 ...

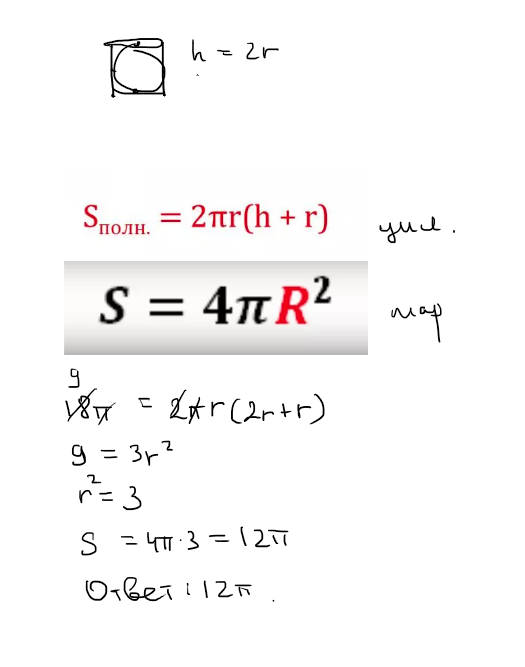
Условие

Помогите пожалуйста!
Около шара описан цилиндр, площадь поверхности которого равна 18π. Найдите площадь поверхности шара.
Нужно само решение!

математика 10-11 класс 3613

Решение

Написать комментарий

Меню

Присоединяйся в ВК