Задать свой вопрос   *более 50 000 пользователей получили ответ на «Решим всё»

Задача 50922 ...

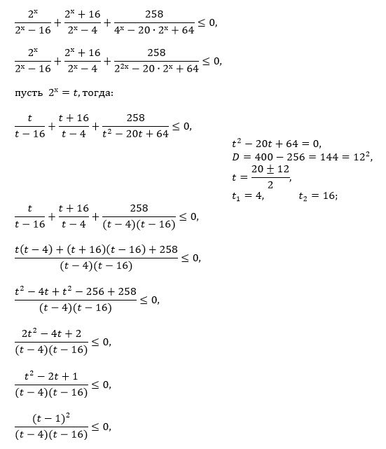
Условие

Решите неравенство:
[block](2^x)/(2^x - 16) + (2^x + 16)/(2^x - 4) + (258)/(4^x - 20 * 2^x + 64) ≤ 0[/block]

математика 10-11 класс 701

Все решения

Написать комментарий

Категория

Меню

Присоединяйся в ВК