Задать свой вопрос
*более 50 000 пользователей получили ответ на «Решим всё»
Задача 50901
...
Условие
rimun
2020-05-20 01:22:26
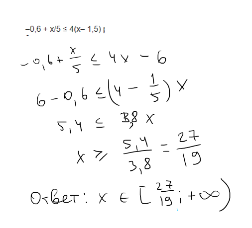
-0,6 + x/5 ≤ 4(x- 1,5) решить неравенство. Помогите пожалуйста решить. Класс 8
математика
1077
Решение
jelley
2020-05-20 01:30:16
★
Написать комментарий
Меню
Решим всё
Найти задачу
Категории
Статьи
Тесты
Архив задач
Присоединяйся в ВК