Задать свой вопрос
*более 50 000 пользователей получили ответ на «Решим всё»
Задача 50895
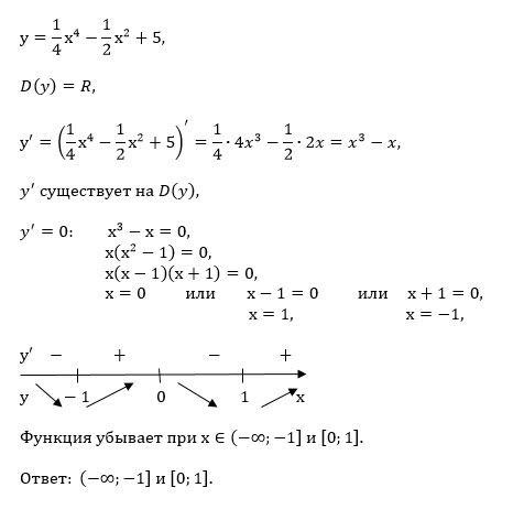
Найти промежутки убывания функции у =...
Условие
diana10
2020-05-19 22:43:40
Найти промежутки убывания функции у = 1/4 х4- 1/2 х2 + 5
математика 10-11 класс
714
Решение
u821511235
2020-05-20 08:52:04
★
Написать комментарий
Меню
Решим всё
Найти задачу
Категории
Статьи
Тесты
Архив задач
Присоединяйся в ВК