Задать свой вопрос   *более 50 000 пользователей получили ответ на «Решим всё»

Задача 50886 Исследовать на сходимость числовые ряды...

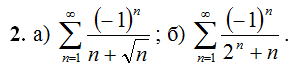
Условие

Исследовать на сходимость числовые ряды и определить характер

математика ВУЗ 560

Решение

а)
Знакочередующийся ряд сходится по признаку Лейбница

|a_(n)| → 0

послед. {|a_(n)|} - монотонно убывает

Можно рассмотреть

f(n)=[m]\frac{1}{n+\sqrt{n}}[/m]



f`(x)=-[m]\frac{1}{(x+\sqrt{x})^2}\cdot (x+\sqrt{x})`[/m]

f`(x)=-[m] \frac{1+\frac{1}{2\sqrt{x}}}{(x+\sqrt{x})^2}[/m] <0


Ряд из модулей расходится, так как эквивалентен гармоническому

Данный знакочередующийся ряд [i]сходится
условно[/i]


б)
Ряд из модулей сходится, так как эквивалентен беск. уб. геом прогресии

∑ 1/(2^(n))

Значит данный знакочередующийся ряд [i]сходится абсолютно[/i]

Написать комментарий

Меню

Присоединяйся в ВК