Задать свой вопрос
*более 50 000 пользователей получили ответ на «Решим всё»
Задача 50879
...
Условие
victoriya08
2020-05-19 21:10:55
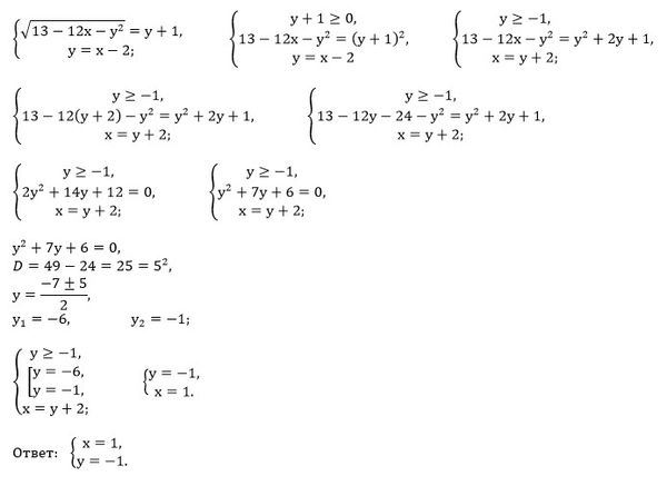
Реши систему уравнений.
{
√(13 - 12x - y²) = y + 1
y = x - 2
}
математика 10-11 класс
595
Решение
u821511235
2020-05-19 22:00:44
★
Написать комментарий
Меню
Решим всё
Найти задачу
Категории
Статьи
Тесты
Архив задач
Присоединяйся в ВК