Вариант 2
1. Решить систему неравенств:
{2x + 6 > 0,
5x + 7 ≤ 0
2. Упростить выражение:
а) (4 + √3)^2
б) (√11 - √5)(√11 + √5)
3. Решить квадратное уравнение:
а) 3x^2 - 5x - 2 = 0
б) - x^2 + x = 0
в) 49x^2 + 28x + 4 = 0
г) 0,2x^2 + 0,04x = 0
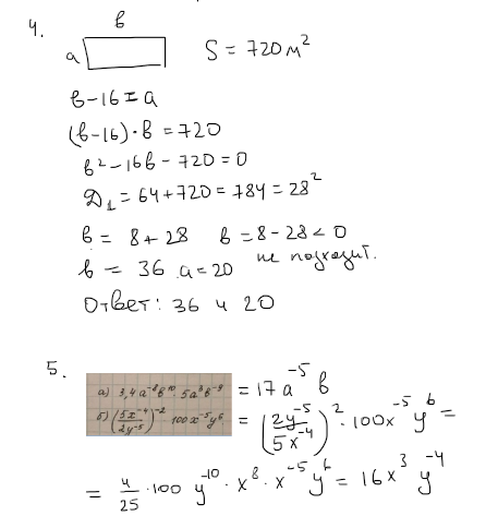
4. Решить задачу:
Площадь прямоугольного участка земли составляет 740 м^2. Найдите длину и ширину участка, если ширина на 16 м меньше длины.
5. Упростить выражение:
...
