Задать свой вопрос
*более 50 000 пользователей получили ответ на «Решим всё»
Задача 5086
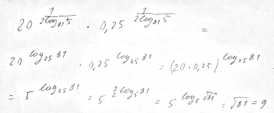
20^(1/2log(81)5)) * (0,25)^(1/2log(81)5)...
Условие
ViktoriasSecret
08.11.2015
20^(1/2log(81)5)) * (0,25)^(1/2log(81)5)
математика 10-11 класс
3414
Решение
slava191
08.11.2015
★
Решаю МТУСИ, потому что я там учусь)
Написать комментарий
Меню
Решим всё
Найти задачу
Категории
Статьи
Тесты
Архив задач
Присоединяйся в ВК