Задать свой вопрос
*более 50 000 пользователей получили ответ на «Решим всё»
Задача 50850
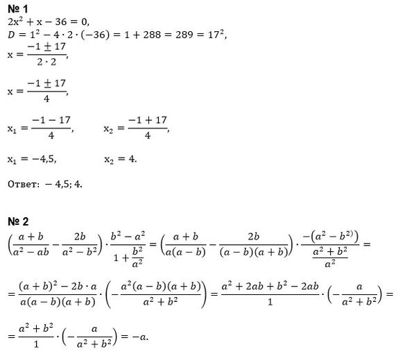
Помогите!!! пожалуйста...
Условие
rimun
2020-05-19 17:06:35
Помогите!!! пожалуйста решить.Сррооччнноо. Если можно все попарядку
математика 8-9 класс
552
Все решения
u821511235
2020-05-19 17:36:37
Написать комментарий
Меню
Решим всё
Найти задачу
Категории
Статьи
Тесты
Архив задач
Присоединяйся в ВК