Задать свой вопрос
*более 50 000 пользователей получили ответ на «Решим всё»
Задача 50837
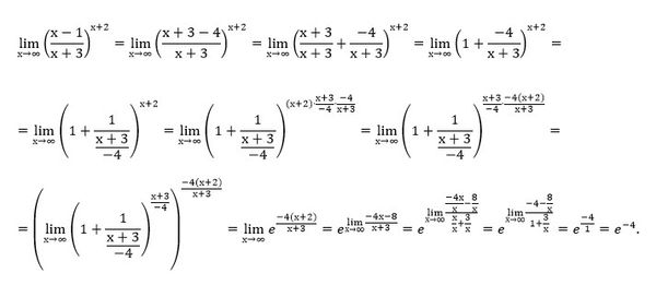
Помогите решить 2.4...
Условие
vk226434676
2020-05-19 16:07:58
Помогите решить 2.4
математика
588
Решение
u821511235
2020-05-19 20:19:41
★
Написать комментарий
Меню
Решим всё
Найти задачу
Категории
Статьи
Тесты
Архив задач
Присоединяйся в ВК