Задать свой вопрос   *более 50 000 пользователей получили ответ на «Решим всё»

Задача 50830 Реши систему...

Условие

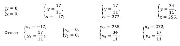
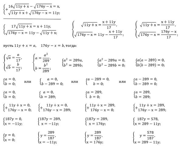
Реши систему уравнений.

[m]\left\{\begin{matrix}
16\sqrt{11y + x} - \sqrt{176y - x} = x \\
\sqrt{11y + x} + \sqrt{176y - x} = 11y
\end{matrix}\right.[/m]

математика 10-11 класс 526

Решение

Написать комментарий

Меню

Присоединяйся в ВК