Задать свой вопрос   *более 50 000 пользователей получили ответ на «Решим всё»

Задача 50813 2.4 Вычислить производную функции [m]...

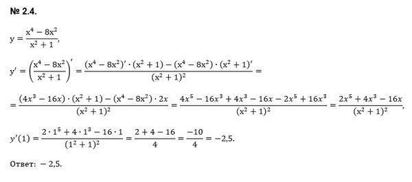
Условие

2.4 Вычислить производную функции [m] \displaystyle y=\frac{x^4 - 8x^2}{x^2 + 1} [/m] в точки [m] x=1 [/m]

математика ВУЗ 608

Решение

Написать комментарий

Меню

Присоединяйся в ВК