Задать свой вопрос
*более 50 000 пользователей получили ответ на «Решим всё»
Задача 50802
...
Условие
vk306899767
2020-05-19 13:34:03
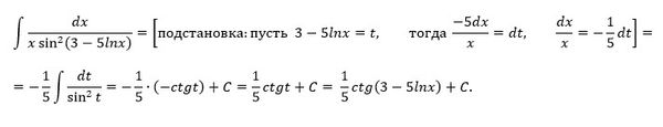
3.1 Найти неопределенный интеграл: ∫ (dx / (x * sin^2(3 - 5 ln x)))
математика ВУЗ
537
Решение
u821511235
2020-05-19 13:54:29
★
Написать комментарий
Меню
Решим всё
Найти задачу
Категории
Статьи
Тесты
Архив задач
Присоединяйся в ВК