Задать свой вопрос   *более 50 000 пользователей получили ответ на «Решим всё»

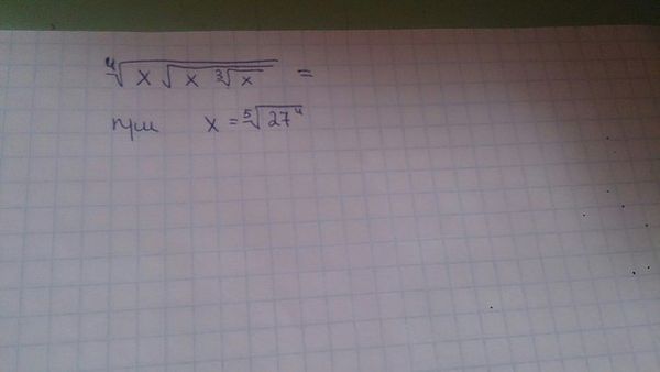
Задача 5080 (x*(x*x^(1/3))^(1/2))^(1/4)...

Условие

(x*(x*x^(1/3))^(1/2))^(1/4)

математика 10-11 класс 1236

Решение

X^(1/4)*x^(1/8)*x^(1/24) = x^((6+3+1)/24) = x^(5/12)

27^(4/5 * 5/12) = 27^(1/3) = 3

Написать комментарий

Меню

Присоединяйся в ВК