Задать свой вопрос
*более 50 000 пользователей получили ответ на «Решим всё»
Задача 50778
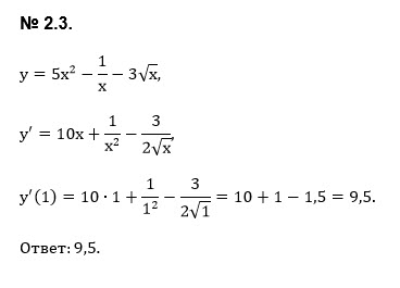
Помогите решить 2.3...
Условие
vk280770680
2020-05-19 10:38:11
Помогите решить 2.3
предмет не задан
565
Решение
u821511235
2020-05-19 12:15:54
★
Написать комментарий
Меню
Решим всё
Найти задачу
Категории
Статьи
Тесты
Архив задач
Присоединяйся в ВК