Задать свой вопрос
*более 50 000 пользователей получили ответ на «Решим всё»
Задача 50776
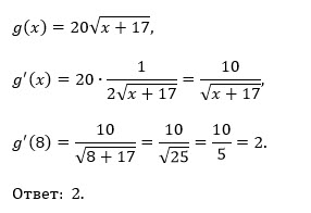
найдите g’(8), если g(x)=20sqrt(x+17)...
Условие
filaatovaa
2020-05-19 10:31:22
найдите g’(8), если g(x)=20sqrt(x+17)
математика ВУЗ
1591
Все решения
u821511235
2020-05-19 12:20:10
Написать комментарий
Меню
Решим всё
Найти задачу
Категории
Статьи
Тесты
Архив задач
Присоединяйся в ВК