Задать свой вопрос   *более 50 000 пользователей получили ответ на «Решим всё»

Задача 50765 (c^(0.5) / (c^(0.5) - d^(0.5)) - d / (c...

Условие

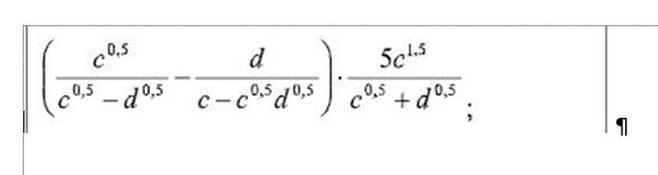
(c^(0.5) / (c^(0.5) - d^(0.5)) - d / (c - c^(0.5) * d^(0.5))) * (5c^(1.5) / (c^(0.5) + d^(0.5)));

математика 10-11 класс 611

Решение

с-с^(0,5)*d^(0,5)=c^(0,5)*(c^(0,5)-d^(0,5))

c-d=(c^(0,5))^2-(d^(0,5))^2=(c^(0,5)-d^(0,5))*(c^(0,5)+d^(0,5))


Написать комментарий

Меню

Присоединяйся в ВК