Задать свой вопрос   *более 50 000 пользователей получили ответ на «Решим всё»

Задача 50731 чисто : цифра - буква...

Условие

чисто : цифра - буква

математика 10-11 класс 620

Решение

10 - Е
11 -Е
12 - С
13 - нет верного ответа - Ответ: (- ∞ ;2]
14 - В
15 - Е
16 - В
17 - нет верного ответа - Ответ: -15
18 - С
19 - Е
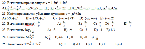
20 - D
21 - нет верного ответа - Ответ: (- ∞ ;- sqrt(2/3)] и [sqrt(2/3); + ∞ )
22 - В
23 - А
24 - С
25 - D

Написать комментарий

Меню

Присоединяйся в ВК