Задать свой вопрос
*более 50 000 пользователей получили ответ на «Решим всё»
Задача 50713
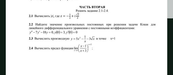
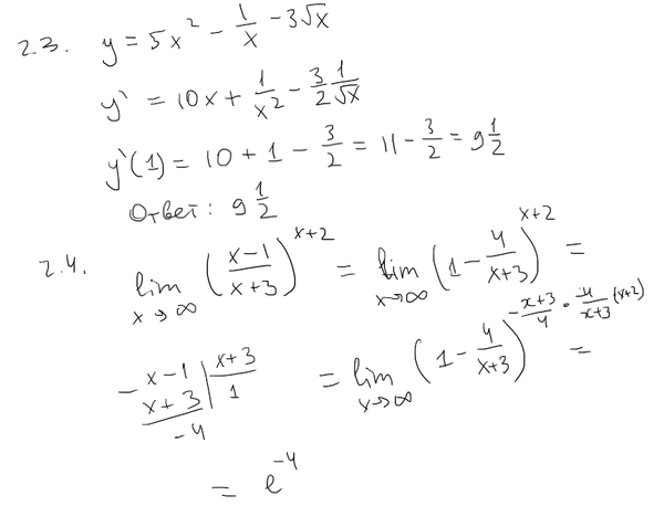
Помогите решить 2 .3 и 2.4...
Условие
vk226434676
2020-05-18 22:03:35
Помогите решить 2 .3 и 2.4
математика
608
Решение
jelley
2020-05-18 22:46:19
★
Написать комментарий
Меню
Решим всё
Найти задачу
Категории
Статьи
Тесты
Архив задач
Присоединяйся в ВК