Задать свой вопрос   *более 50 000 пользователей получили ответ на «Решим всё»

Задача 50712 2.2 Найдите значение произвольных...

Условие

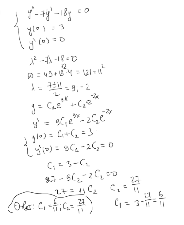
2.2 Найдите значение произвольных постоянных при решении задачи Коши для линейного дифференциального уравнения с постоянными коэффициентами:
y'' - 7y' - 18y = 0, y(0) = 3, y'(0) = 0

математика 693

Решение

Написать комментарий

Меню

Присоединяйся в ВК