Задать свой вопрос
*более 50 000 пользователей получили ответ на «Решим всё»
Задача 50711
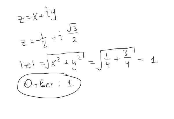
2.1 Вычислить |z|, где [m] z =...
Условие
vk226434676
2020-05-18 22:00:59
2.1 Вычислить |z|, где [m] z = -\frac{1}{2} + i \frac{\sqrt{3}}{2}[/m]
математика ВУЗ
574
Решение
jelley
2020-05-18 22:43:44
★
Написать комментарий
Меню
Решим всё
Найти задачу
Категории
Статьи
Тесты
Архив задач
Присоединяйся в ВК