Задать свой вопрос   *более 50 000 пользователей получили ответ на «Решим всё»

Задача 50656 Вычислить определитель: [m]3 \quad 4...

Условие

Вычислить определитель:
[m]3 \quad 4 \quad -5[/m]
[m]8 \quad 7 \quad -2[/m]
[m]2 \quad -1 \quad 8[/m]

математика ВУЗ 586

Все решения

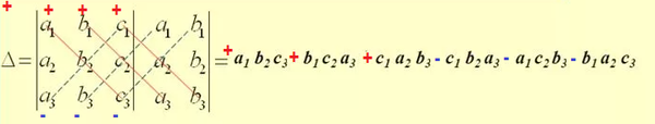
Правило треугольника:
=3*7*8+4*(-2)*2+(-5)*8*(-1)-2*7(-5)-(-1)*(-2)*3-8*8*4=

=... считаем

Написать комментарий

Меню

Присоединяйся в ВК