Задать свой вопрос   *более 50 000 пользователей получили ответ на «Решим всё»

Задача 50651 Помогите решить пожалуйста ...

Условие

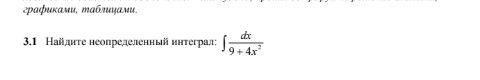
Помогите решить пожалуйста

предмет не задан 544

Решение

∫ d[b]u[/b]/([red]a[/red]^2+[b]u[/b]^2)=(1/[red]a[/red])*arctg([b]u[/b]/[red]a[/red])+C


∫ dx/(9+4x^2)= ∫ dx/([red]3[/red]^2+(2x)^2)= [u=[b]2x[/b]; du=2dx; ]

=(1/2) ∫ 2dx/([red]3[/red]^2+(2x)^2)=

=(1/2) ∫ d([b]2x[/b])/([red]3[/red]^2+([b]2x[/b])^2)=


=(1/2)arctg([b]2x[/b])/([red]3[/red]) + C

Написать комментарий

Меню

Присоединяйся в ВК