Задать свой вопрос   *более 50 000 пользователей получили ответ на «Решим всё»

Задача 50647 Помогите решить пожалуйста подробно ...

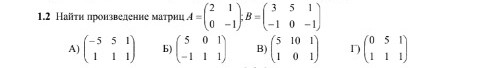
Условие

Помогите решить пожалуйста подробно

предмет не задан 605

Решение

[m]A\cdot B=\begin{pmatrix} 2\cdot 3+1\cdot (-1) &2\cdot 5+1\cdot 0 &2\cdot 1+1\cdot(-1) \\ 0\cdot 3+(-1)\cdot (-1) &0\cdot 5+(-1)\cdot 0& 0\cdot 1+(-1)\cdot (-1) \end{pmatrix}[/m]

Считайте...

в) по- моему

Написать комментарий

Меню

Присоединяйся в ВК