Задать свой вопрос   *более 50 000 пользователей получили ответ на «Решим всё»

Задача 50634 ...

Условие

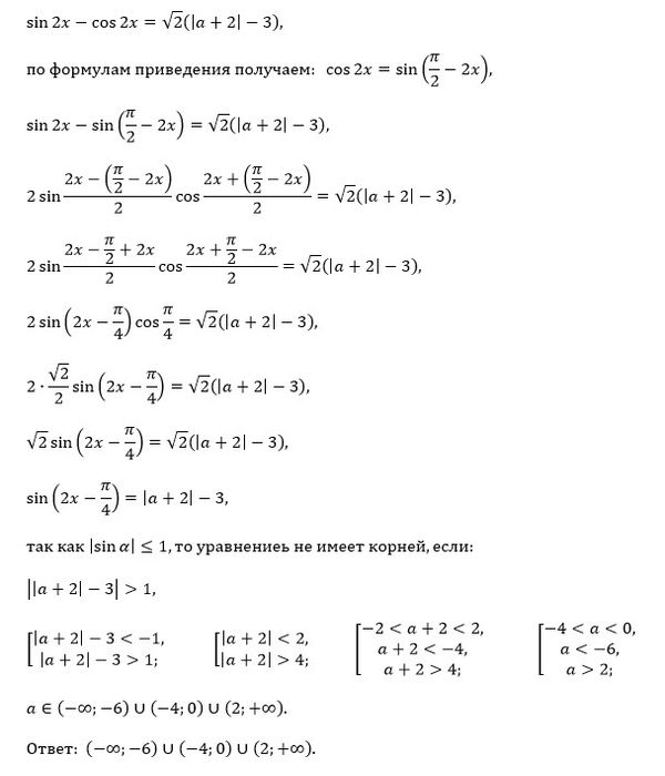
Найдите все значения a, при которых уравнение sin 2x - cos 2x = √2 · (|a + 2| - 3) не имеет решений.

математика 10-11 класс 630

Все решения

Написать комментарий

Категория

Меню

Присоединяйся в ВК