Задать свой вопрос   *более 50 000 пользователей получили ответ на «Решим всё»

Задача 50578 ...

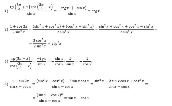
Условие

1) tan(3π/2 + x) cos(3π/2 - x) / sin x

2) (1 + cos 2x) / 2 sin² x

3) tan(3π + x) / cos(3π/2 + x)

4) (1 - sin 2x) / (sin x - cos x)

предмет не задан 561

Решение

Написать комментарий

Меню

Присоединяйся в ВК