Задать свой вопрос
*более 50 000 пользователей получили ответ на «Решим всё»
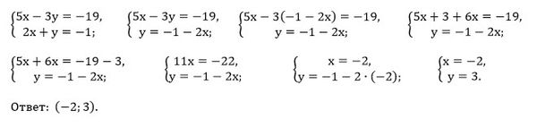
Задача 50537
Найти развязку...
Условие
usermanium
2020-05-17 23:05:30
Найти развязку системы
5х-3у=-19,
2х+у=*1.
предмет не задан
1154
Все решения
u821511235
2020-05-18 06:57:58
Написать комментарий
Меню
Решим всё
Найти задачу
Категории
Статьи
Тесты
Архив задач
Присоединяйся в ВК