Задать свой вопрос
*более 50 000 пользователей получили ответ на «Решим всё»
Задача 5048
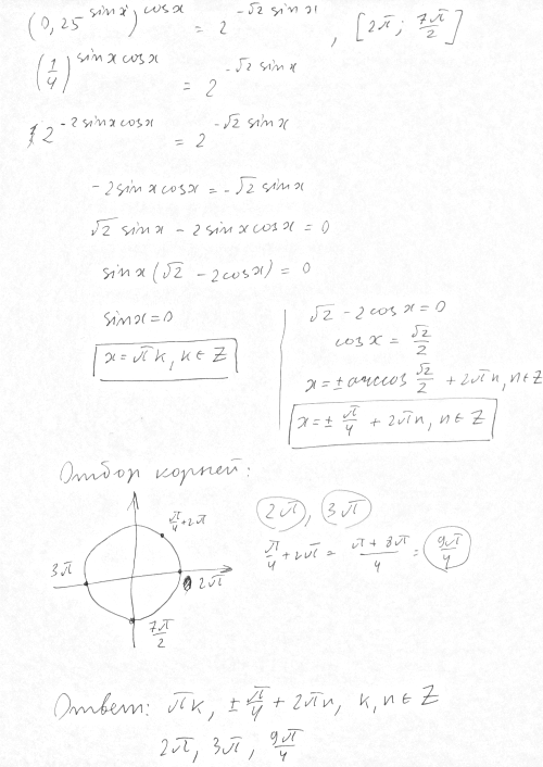
Решите уравнение (0,25^(sinx))^(cosx) =...
Условие
kat79303325
05.11.2015
Решите уравнение (0,25^(sinx))^(cosx) = 2^(-sqrt(2)sinx), найдите корни на промежутке [2Pi; 7Pi/2]
математика 10-11 класс
35114
Решение
slava191
05.11.2015
★
Написать комментарий
Меню
Решим всё
Найти задачу
Категории
Статьи
Тесты
Архив задач
Присоединяйся в ВК