Задать свой вопрос
*более 50 000 пользователей получили ответ на «Решим всё»
Задача 50445
Помогите решить дифференциальное...
Условие
vk376161408
2020-05-17 09:46:58
Помогите решить дифференциальное уравнение!!!
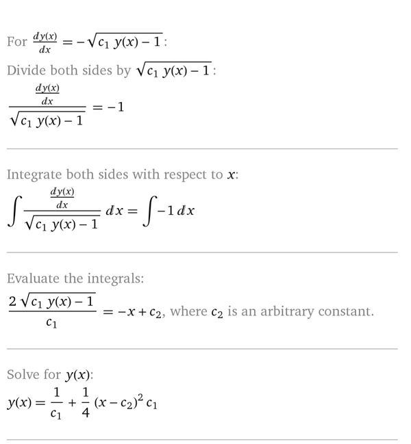
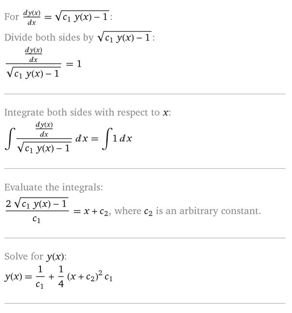
2yy"=(y')^2+1
математика ВУЗ
1182
Все решения
slava191
2020-05-17 12:26:14
Написать комментарий
Меню
Решим всё
Найти задачу
Категории
Статьи
Тесты
Архив задач
Присоединяйся в ВК