Задать свой вопрос
*более 50 000 пользователей получили ответ на «Решим всё»
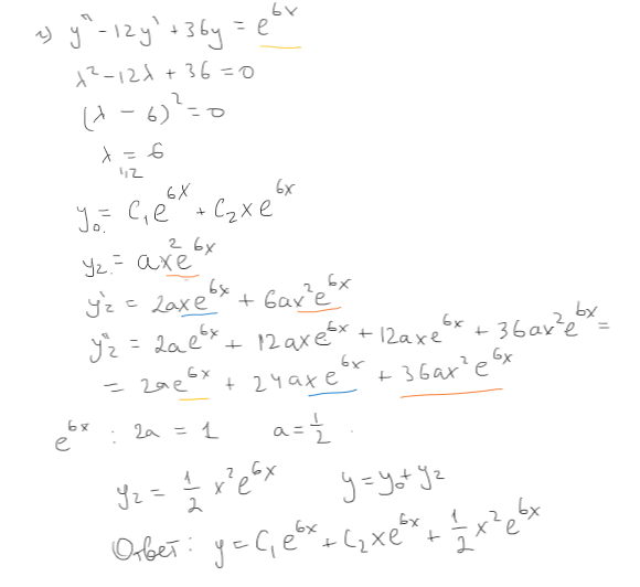
Задача 50440
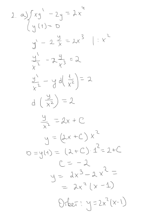
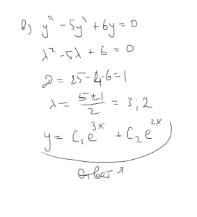
Помогите пожалуйста решить !!!!!!...
Условие
ahmerovrs909
2020-05-17 08:05:56
Помогите пожалуйста решить !!!!!!
предмет не задан
623
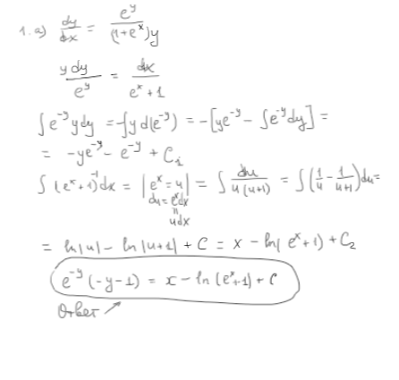
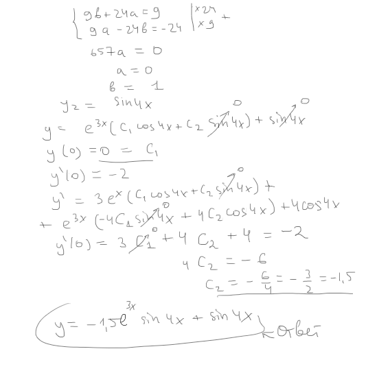
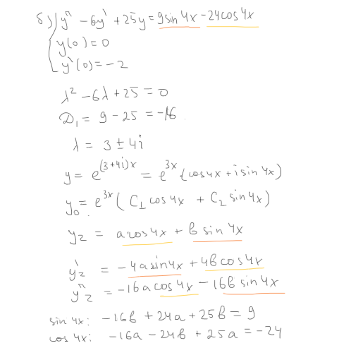
Решение
jelley
2020-05-17 14:43:53
★
Написать комментарий
Меню
Решим всё
Найти задачу
Категории
Статьи
Тесты
Архив задач
Присоединяйся в ВК