Задать свой вопрос
*более 50 000 пользователей получили ответ на «Решим всё»
Задача 50426
...
Условие
vk295929291
2020-05-16 19:54:09
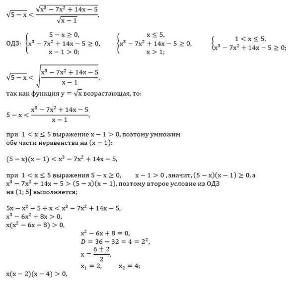
Решите неравенство √(5 - х) < √(х³ - 7x² + 14х - 5) / √(х - 1).
математика 10-11 класс
604
Все решения
u821511235
2020-05-16 22:29:33
Написать комментарий
Меню
Решим всё
Найти задачу
Категории
Статьи
Тесты
Архив задач
Присоединяйся в ВК