Задать свой вопрос
*более 50 000 пользователей получили ответ на «Решим всё»
Задача 50425
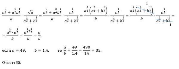
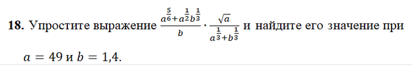
18. Упростите выражение .... и найдите...
Условие
saymanfilt
2020-05-16 19:42:30
18. Упростите выражение .... и найдите его значение при [m]a = 49[/m] и [m]b = 1,4[/m].
математика 10-11 класс
576
Решение
u821511235
2020-05-16 22:43:17
★
Написать комментарий
Меню
Решим всё
Найти задачу
Категории
Статьи
Тесты
Архив задач
Присоединяйся в ВК