Задать свой вопрос
*более 50 000 пользователей получили ответ на «Решим всё»
Задача 50392
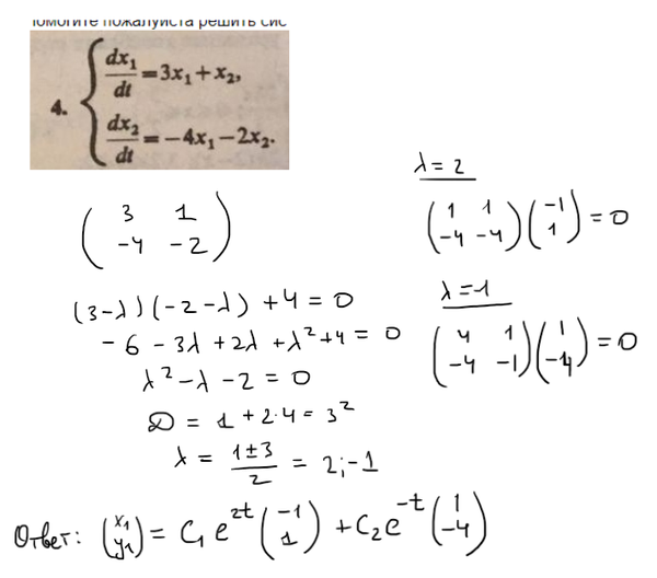
{ dx1/dt = 3x1 + x2, { dx2/dt = -4x1...
Условие
ahmerovrs909
2020-05-16 17:14:21
{ dx1/dt = 3x1 + x2,
{ dx2/dt = -4x1 - 2x2.
предмет не задан
619
Решение
jelley
2020-05-16 17:24:12
★
Написать комментарий
Меню
Решим всё
Найти задачу
Категории
Статьи
Тесты
Архив задач
Присоединяйся в ВК