Задать свой вопрос
*более 50 000 пользователей получили ответ на «Решим всё»
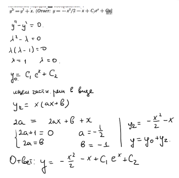
Задача 50384
Найдите общее решение дифференциального...
Условие
frost2222
2020-05-16 16:36:40
Найдите общее решение дифференциального уравнения допускающего понижение порядка
математика ВУЗ
684
Решение
jelley
2020-05-16 17:11:48
★
Написать комментарий
Меню
Решим всё
Найти задачу
Категории
Статьи
Тесты
Архив задач
Присоединяйся в ВК