Задать свой вопрос   *более 50 000 пользователей получили ответ на «Решим всё»

Задача 50343 1. Если используется подстановка [m] t =...

Условие

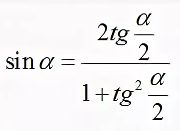
1. Если используется подстановка [m] t = tg \frac{x}{2} [/m], то какое равенство неверно?

A. [m]\sin x = \frac{t}{1 + t^2}[/m]
B. [m]\cos x = \frac{1 - t^2}{1 + t^2}[/m]
C. [m] x = 2 arctg t [/m]
D. [m] dx = \frac{2dt}{1 + t^2} [/m]

математика ВУЗ 552

Решение

A

Написать комментарий

Меню

Присоединяйся в ВК