Задать свой вопрос
*более 50 000 пользователей получили ответ на «Решим всё»
Задача 50331
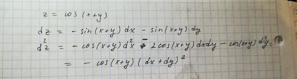
Найти частную производную или...
Условие
pomogitepj
2020-05-15 23:48:22
Найти частную производную или дифференциал
математика ВУЗ
572
Решение
jelley
2020-05-16 00:01:19
★
Написать комментарий
Меню
Решим всё
Найти задачу
Категории
Статьи
Тесты
Архив задач
Присоединяйся в ВК