Задать свой вопрос
*более 50 000 пользователей получили ответ на «Решим всё»
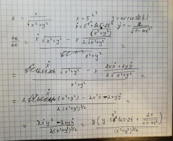
Задача 50330
Задание на картинке...
Условие
pomogitepj
2020-05-15 23:44:59
Задание на картинке
математика ВУЗ
703
Решение
jelley
2020-05-15 23:56:40
★
Написать комментарий
Меню
Решим всё
Найти задачу
Категории
Статьи
Тесты
Архив задач
Присоединяйся в ВК