Задать свой вопрос   *более 50 000 пользователей получили ответ на «Решим всё»

Задача 50327 ...

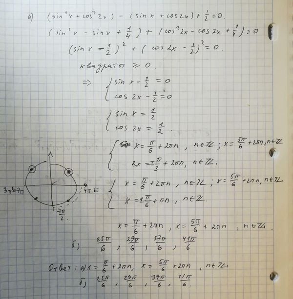
Условие

а) Решите уравнение (sin^2 x + cos^2 2x) - (sin x + cos 2x) + 1/2 = 0.

б) Найдите все корни этого уравнения, принадлежащие промежутку [7π/2 ; 7π].

математика 10-11 класс 629

Все решения

Написать комментарий

Категория

Меню

Присоединяйся в ВК