Задать свой вопрос
*более 50 000 пользователей получили ответ на «Решим всё»
Задача 50318
...
Условие
ananaya
2020-05-15 22:29:48
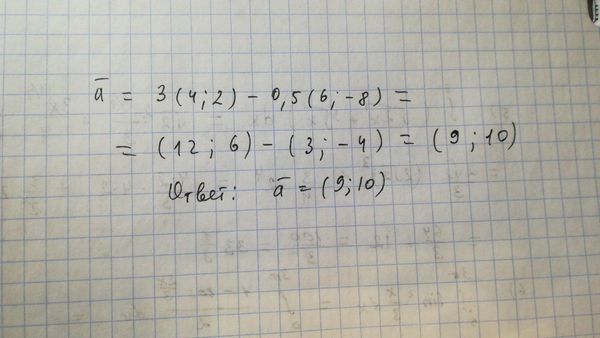
Дано вектори ī(4; 2) та ō(6; –8). Знайдіть координати вектора ā = 3ī – 0,5ō.
предмет не задан 8-9 класс
1541
Решение
jelley
2020-05-15 22:31:57
★
Написать комментарий
Меню
Решим всё
Найти задачу
Категории
Статьи
Тесты
Архив задач
Присоединяйся в ВК