Задать свой вопрос
*более 50 000 пользователей получили ответ на «Решим всё»
Задача 50234
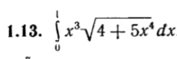
Вычислить определенный интеграл с...
Условие
vk557167629
2020-05-15 09:58:11
Вычислить определенный интеграл с точностью до двух знаков после запятой
математика 10-11 класс
636
О решение...
На нашем сайте такое бывает редко, но решение к данной задаче еще никто не написал.
Что Вы можете сделать?
Выставите данный вопрос вновь. Перейдите на
главную страницу
.
Найдите похожую задачу. Используйте
поиск
.
Написать комментарий
Меню
Решим всё
Найти задачу
Категории
Статьи
Тесты
Архив задач
Присоединяйся в ВК