Задать свой вопрос
*более 50 000 пользователей получили ответ на «Решим всё»
Задача 50223
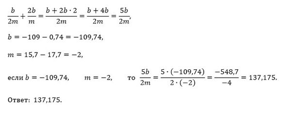
Задание на картинке...
Условие
vk529357032
2020-05-15 07:08:02
Задание на картинке
предмет не задан
581
Все решения
u821511235
2020-05-15 08:46:50
Написать комментарий
Меню
Решим всё
Найти задачу
Категории
Статьи
Тесты
Архив задач
Присоединяйся в ВК