Задать свой вопрос   *более 50 000 пользователей получили ответ на «Решим всё»

Задача 50207 ...

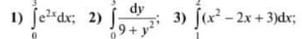
Условие

1) ∫₀¹ e^(2x)dx; 2) ∫₀³ dy/(9+y²); 3) ∫₀¹ (x² - 2x + 3)dx;

математика ВУЗ 601

Все решения

1) Формула ∫ e^(u)du=e^(u)

u=2x;

du=2dx

dx=(1/2)du=(1/2)d(2x)



=(1/2)e^(2x)|^(3)_(0)=(1/2)*(e^(6)-e^(0))=(1/2)*(e^(6)-1)


2)= (1/3) arctg(x/3)|^(3)_(0)=(1/3)(arctg1-arctg0)=(1/3)*((π/4)-0)=π/12



3)=((x^3/3)-2*(x^2/2)+3x)|^(2)_(1)=

=((2^3/3)-2*(2^2/2)+3*2)-((1^3/3)-2*(1^2/2)+3*1)=7/3

Написать комментарий

Меню

Присоединяйся в ВК