Задать свой вопрос   *более 50 000 пользователей получили ответ на «Решим всё»

Задача 50204 Помогите пожалуйста...

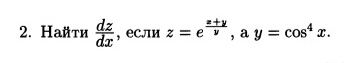
Условие

Помогите пожалуйста

математика ВУЗ 523

Все решения

∂z/∂x=z`_(x)=[m]e^{\frac{x+y}{y}}\cdot (\frac{x+y}{y})`_{x}=e^{\frac{x+y}{y}}\cdot (\frac{x}{y}+1)`_{x}=e^{\frac{x+y}{y}}\cdot\frac{1}{y}[/m]



∂z/∂y=z`_(y)=[m]e^{\frac{x+y}{y}}\cdot (\frac{x+y}{y})`_{y}=e^{\frac{x+y}{y}}\cdot (\frac{x}{y}+1)`_{y}=e^{\frac{x+y}{y}}\cdot(-\frac{x}{y^2})[/m]

∂y/∂x=y`_(x)=[m]4cos^3x\cdot (cosx)`=-4cos^3x\cdot sinx[/m]


и подставляем в формулу ( см. приложение)

Написать комментарий

Меню

Присоединяйся в ВК