Задать свой вопрос
*более 50 000 пользователей получили ответ на «Решим всё»
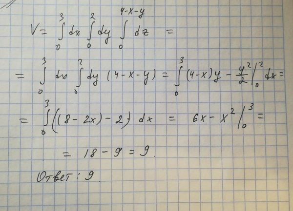
Задача 50187
МАТЕМАТИКА ...
Условие
vk204246668
2020-05-14 18:58:12
МАТЕМАТИКА
математика ВУЗ
622
Все решения
jelley
2020-05-15 23:35:44
Написать комментарий
Меню
Решим всё
Найти задачу
Категории
Статьи
Тесты
Архив задач
Присоединяйся в ВК