Задать свой вопрос
*более 50 000 пользователей получили ответ на «Решим всё»
Задача 50176
...
Условие
victoriya08
2020-05-14 16:16:32
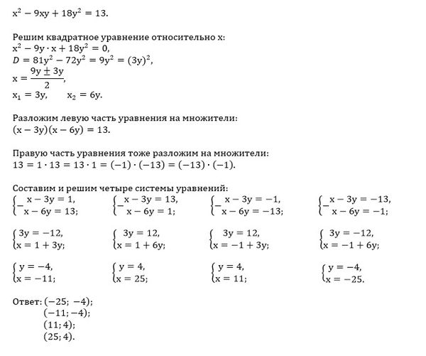
Найди решение уравнения в целых числах: x² - 9xy + 18y² = 13.
математика 10-11 класс
591
Решение
u821511235
2020-05-14 16:48:09
★
Все решения
xacku13052020
2020-05-14 17:07:06
(25;4) (-25;-4) (-11;-4) (11;4)
Написать комментарий
Меню
Решим всё
Найти задачу
Категории
Статьи
Тесты
Архив задач
Присоединяйся в ВК