Задать свой вопрос   *более 50 000 пользователей получили ответ на «Решим всё»

Задача 50156 Найдите общее решение системы линейных...

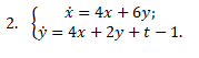
Условие

Найдите общее решение системы линейных неоднородных дифференциальных уравнений 2 порядка с постоянными коэффициентами

математика ВУЗ 495

О решение...

На нашем сайте такое бывает редко, но решение к данной задаче еще никто не написал.

Что Вы можете сделать?

  1. Выставите данный вопрос вновь. Перейдите на главную страницу.
  2. Найдите похожую задачу. Используйте поиск.

Написать комментарий

Меню

Присоединяйся в ВК