Задать свой вопрос
*более 50 000 пользователей получили ответ на «Решим всё»
Задача 50148
Решить дифферициальное уравнения через...
Условие
khasanov
2020-05-14 11:43:40
Решить дифферициальное уравнения через Логранжа и Клеро
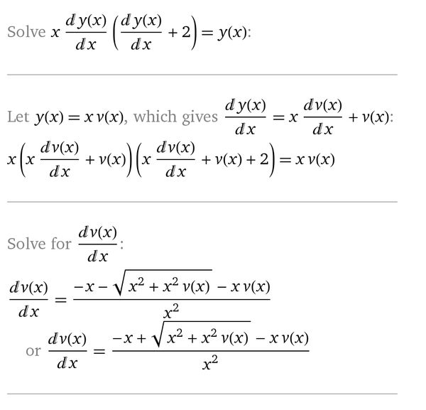
xy'(y' + 2) = y.
математика ВУЗ
799
Решение
slava191
2020-05-14 12:59:23
★
Написать комментарий
Меню
Решим всё
Найти задачу
Категории
Статьи
Тесты
Архив задач
Присоединяйся в ВК