Задать свой вопрос
*более 50 000 пользователей получили ответ на «Решим всё»
Задача 50035
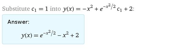
y' + xy = - x^3 ; y(0)=3...
Условие
svetapan
2020-05-13 13:32:14
y' + xy = - x^3 ; y(0)=3
математика ВУЗ
1495
Решение
slava191
2020-05-13 22:31:02
★
Написать комментарий
Меню
Решим всё
Найти задачу
Категории
Статьи
Тесты
Архив задач
Присоединяйся в ВК